أكثر 10 مواضيع قراءةً اسماء المتدربين في دورة اساسيات تربية النحل للرجال رقم 2 مبادرة ارامكو (الكاتـب : admin - المشاهدات : 6960 )           »          اسماء المتدربات في دورة اساسيات تربية النحل ضمن مبادرة ارامكو (الحريضه) (الكاتـب : admin - المشاهدات : 6879 )           »          اسماء المتدربين في دورة اساسيات تربية النحل ضمن مبادرة ارامكو (الحريضه) (الكاتـب : admin - المشاهدات : 6817 )           »          اسماء المتدربات في دورة اساسيات تربية النحل برجال المع من 7-11-9-1445هـ (الكاتـب : admin - المشاهدات : 6808 )           »          اسماء المتدربين في دورة اساسيات تربية النحل (الكاتـب : admin - المشاهدات : 6757 )           »          اسماء المتدربات في الصناعات التحويلية مؤسسة إخاء (الكاتـب : admin - المشاهدات : 6649 )           »          دورة الصناعات التحويلية في الحريضة ضمن مبادرة اجاويد2 (الكاتـب : admin - المشاهدات : 6638 )           »          اسماء المتدربين في دورة اساسيات تربية النحل رقم 3 ضمن مبادرة ارامكو السعودية (الكاتـب : admin - المشاهدات : 6286 )           »          اسماء المتدربات في دورة اساسيات تربية النحل رقم 1 في جمعية البر بأبها (الكاتـب : admin - المشاهدات : 6279 )           »          اسماء المتدربين في دورة اساسيات تربية النحل للرجال ضمن مبادرة ارامكو السعودية (الكاتـب : admin - المشاهدات : 5994 )


الإعلانات

العودة   موقع الجمعية التعاونية للنحالين برجال ألمع > موقع الجمعية التعاونية للنحالين برجال ألمع > برامج وانشطة الجمعية

إضافة رد
 
أدوات الموضوع انواع عرض الموضوع
قديم 12-23-2025, 08:49 PM   المشاركة رقم: 1
المعلومات
الكاتب:
إدارة الجمعية
اللقب:
Member

البيانات
التسجيل: Dec 2025
العضوية: 2
المشاركات: 99 [+]
بمعدل : 1.19 يوميا
اخر زياره : [+]
معدل التقييم: 1
نقاط التقييم: 10
إدارة الجمعية is on a distinguished road

التوقيت

الإتصالات
الحالة:
إدارة الجمعية غير متواجد حالياً
وسائل الإتصال:

المنتدى : برامج وانشطة الجمعية
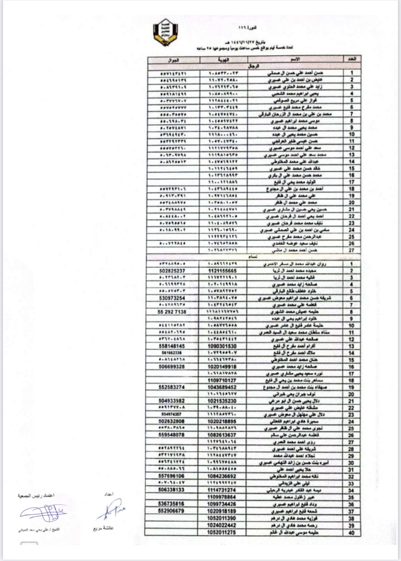
افتراضي اسماء المتدربين والمتدربات في دورة اساسيات تربية النحل رقم 116

تحت إشراف فرع وزارة البيئة والمياه والزراعة بمنطقة عسير تقيم الجمعية التعاونية للنحالين برجال المع دورات تدريبية في اساسيات تربية النحل خلال الفترة من 27/ 11 إلى 2 / 12 / 1446هـ
دورة اساسيات تربية النحل رقم 116













عرض البوم صور إدارة الجمعية   رد مع اقتباس
إضافة رد

مواقع النشر (المفضلة)


الذين يشاهدون محتوى الموضوع الآن : 1 ( الأعضاء 0 والزوار 1)
 

تعليمات المشاركة
لا تستطيع إضافة مواضيع جديدة
لا تستطيع الرد على المواضيع
لا تستطيع إرفاق ملفات
لا تستطيع تعديل مشاركاتك

BB code is متاحة
كود [IMG] متاحة
كود HTML معطلة

الانتقال السريع


الساعة الآن 04:51 PM


Powered by vBulletin® Copyright ©2000 - 2026, Jelsoft Enterprises Ltd. altmus
vEhdaa 1.1 by NLP ©2009